Coordinate Systems and Transformations

This package defines common coordinate systems used in heliophysics and space physics research.

Standard Coordinate Systems

Systems based on the Earth-Sun line

  • GSE (Geocentric Solar Ecliptic)
  • GSM (Geocentric Solar Magnetic)

Systems based on the Earth's rotation axis

  • GEO (Geographic)
  • GEI (Geocentric Equatorial Inertial)
  • J2000

Systems based on the dipole axis of the Earth's magnetic field

  • SM (Solar Magnetic)
  • MAG (Geomagnetic)

Other coordinate systems

More information can be found in the the following links

Coordinate Transformations

SPEDAS.rotateFunction
rotate(ts::AbstractMatrix, mat::AbstractMatrix)

Coordinate-aware transformation of vector/matrix by rotation matrix(s) mat(s). Assume ts is a matrix of shape (n, 3).

source

A comprehensive description of the transformations can be found in Hapgood [1]

Coordinate transformations between geocentric systems

SPEDAS.cotransFunction
cotrans(A, in, out; backend=:auto)
cotrans(A, out; in=get_coord(A))

Transform the data to the out coordinate system from the in coordinate system.

If backend is set to :auto (default), this function automatically chooses between Julia's GeoCotrans (if available) and Fortran's IRBEM implementation. Otherwise, it uses the specified backend.

References:

source
using DimensionalData
using Speasy, SPEDAS
using CairoMakie, SpacePhysicsMakie

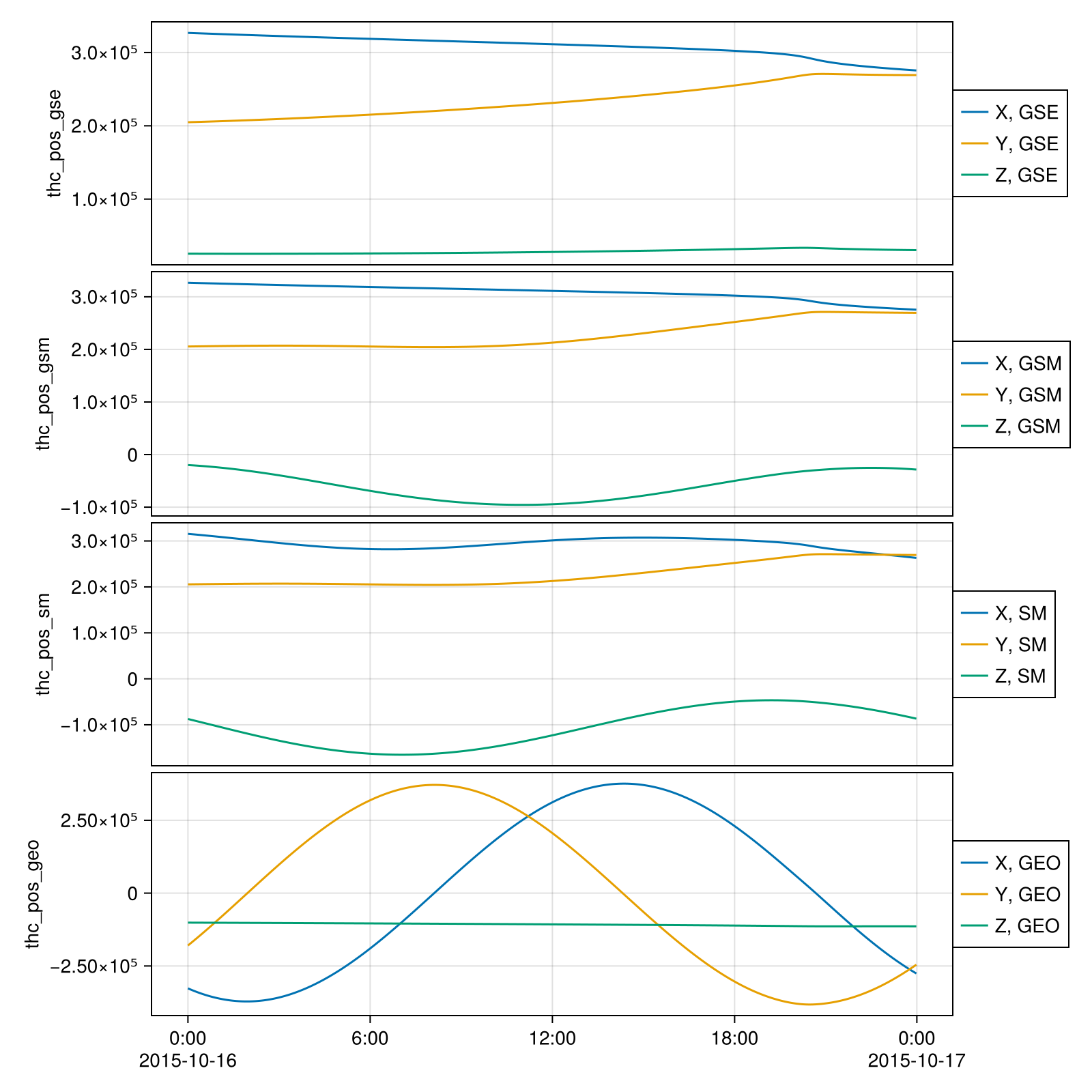
pos_gse = get_data("cda/THC_L1_STATE/thc_pos_gse", "2015-10-16", "2015-10-17") |> DimArray

pos_gsm = cotrans(pos_gse, "GSM")
pos_sm = cotrans(pos_gse, "SM")
pos_geo = cotrans(pos_gse, "GEO")

tplot((pos_gse, pos_gsm, pos_sm, pos_geo))

Specialized Coordinate Systems

The package also provides transformations for analysis-specific coordinate systems:

Field-Aligned Coordinates (FAC)

A local coordinate system defined relative to the ambient magnetic field direction, useful for studying plasma waves and particle distributions.

SPEDAS.fac_matFunction
fac_mat(vec::AbstractVector; xref=[1.0, 0.0, 0.0])

Generates a field-aligned coordinate (FAC) transformation matrix for a vector.

Arguments

  • vec: A 3-element vector representing the magnetic field
source

Minimum Variance Analysis (MVA) and Boundary Normal Coordinates (LMN)

A coordinate system derived from the eigenvalues and eigenvectors of the magnetic field variance matrix, commonly used in analyzing current sheets, discontinuities, and wave propagation.

See MinimumVarianceAnalysis.jl for more details.

MinimumVarianceAnalysis.mva_eigenFunction
mva_eigen(x::AbstractMatrix; dim = nothing, sort=(;), check=false) -> F::Eigen

Perform minimum variance analysis of the magnetic field B or maximum variance analysis of the electric field E when field=:E.

x varies along the dim dimension.

Return Eigen factorization object F which contains the eigenvalues in F.values and the eigenvectors in the columns of the matrix F.vectors. The kth eigenvector can be obtained from the slice F.vectors[:, k].

Set check=true to check the reliability of the result.

Notes

For a one-dimensional current layer, the tangential electric field components are approximately constant across the boundary, while the normal component exhibits the largest variation. Therefore, the eigenvector corresponding to the maximum eigenvalue $λ_1$ (first column of F.vectors) gives an estimate of the boundary normal direction.

source
MinimumVarianceAnalysis.mvaFunction
mva(V, F=V; dim=nothing, kwargs...)

Transform a timeseries V into the LMN coordinate system based on the minimum/maximum variance analysis of reference field F along the dim dimension (time).

See also: mva_eigen, transform

source
MinimumVarianceAnalysis.check_mva_eigenFunction
check_mva_eigen(F; r0=5, verbose=false, field = :B)

Check the quality of the MVA result.

If λ₁ ≥ λ₂ ≥ λ₃ are 3 eigenvalues of the constructed matrix M. For MVAB, a good indicator of nice results should have $abs(λ₂ / λ₃) > r0$ (default $r0 = 5$).

For MVAE, a reliable normal direction requires the maximum eigenvalue $λ₁$ to be well-separated from the intermediate eigenvalue $λ₂$. The ratio $|λ₁ / λ₂| > r0$ is used as a quality indicator.

source

See also: Comparison with PySPEDAS.

Reference

  • PySPEDAS: Coordinate Systems
  • geopack: Python version of geopack and Tsyganenko models
  • geospacelab: A python-based library to collect, manage, and visualize geospace data (e.g. OMNI, geomagnetic indices, EISCAT, DMSP, SWARM, TEC, AMPERE, etc.).
  • aacgmv2: Python library for AACGM-v2 magnetic coordinates